Помогите с алгоритмом пожалуйстааааааа!!!! мне нужна схема

Приложения:

Ответы

Ответ дал: petyaGavrikov
0
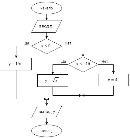
Блок-схема - в прилагаемом файле.
Приложения:
Ответ дал: Uliya100
0
огромное спасибо!!!!!!!!!!!!!!!!!!!!!!!!!!!!!!!!!!!!!!!!!!!!!!!!!!!!
Ответ дал: petyaGavrikov
0
Пожалуйста.
Вас заинтересует