Солдатушки, бравы ребятушки ! Помогите поцану в армию не попасть!
Нужно так объяснить эту задачку, чтобы я везде её решил ;)
Чётко, понятно, доходчиво и внятно!
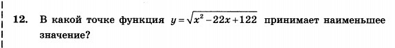
Приложения:
Ответа на этот вопрос пока нет. Попробуйте найти его через форму поиска.
Вас заинтересует
2 года назад
2 года назад
3 года назад
3 года назад
9 лет назад
9 лет назад
10 лет назад