Ответы
Ответ дал:
0
3х-1,2≥3,3
3x≥3,3-1,2
3x≥2,1
x≥2,1/3
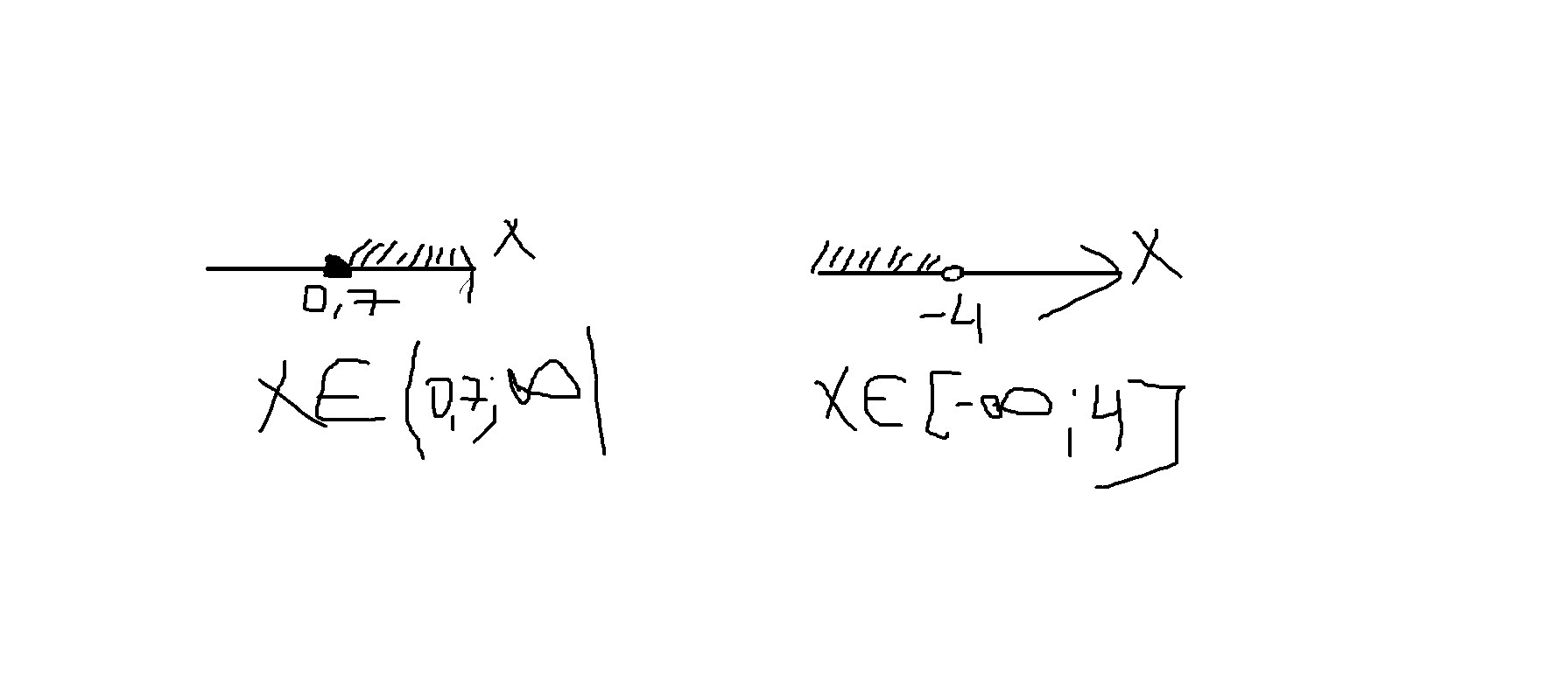
x≥0,7
3x+7<x-1
3x-x<-1-7
2x<-8
x<-8/2
x<-4
3x≥3,3-1,2
3x≥2,1
x≥2,1/3
x≥0,7
3x+7<x-1
3x-x<-1-7
2x<-8
x<-8/2
x<-4
Приложения:

Вас заинтересует
2 года назад
2 года назад
3 года назад
3 года назад
9 лет назад
9 лет назад
10 лет назад
10 лет назад