• Предмет: Математика
  • Автор: Аноним
  • Вопрос задан 8 лет назад

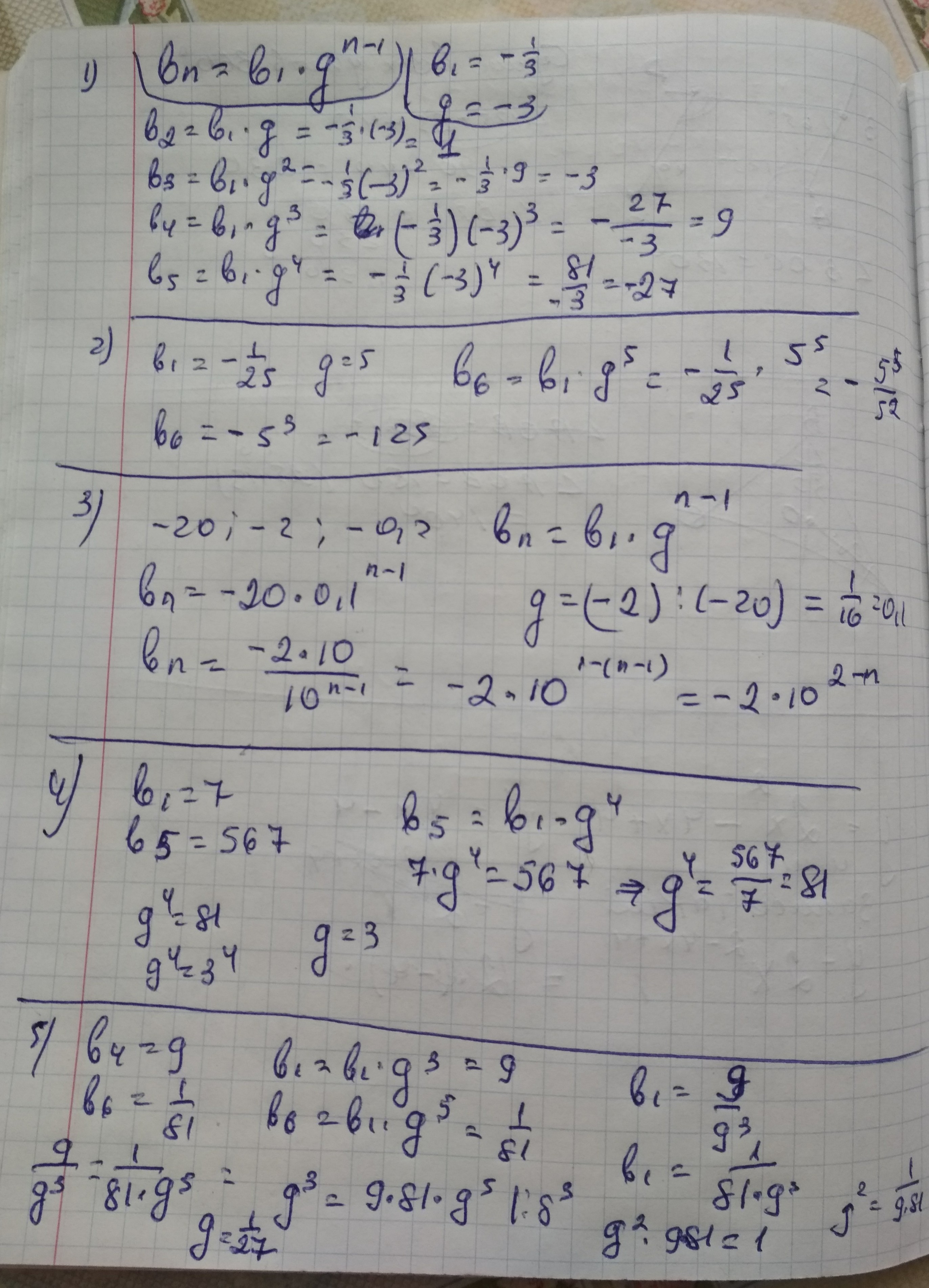
Решите пожалуйста срочно 2,4,5

Приложения:

Ответы

Ответ дал: irlina
0
учи формулы внимательно
Приложения:
Вас заинтересует