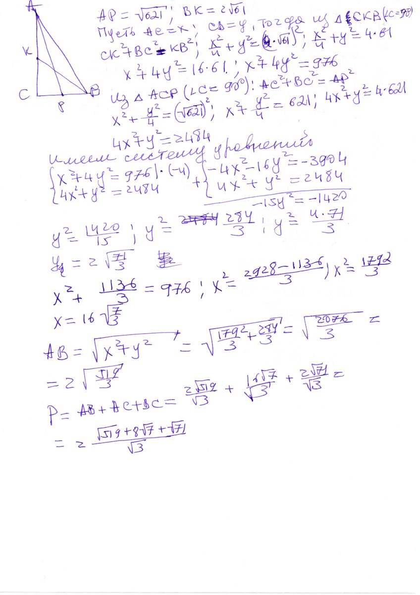
Длины медиан, проведенных к катетам прямоугольного треугольника, равны
и
. Найдите периметр треугольника.
Ответы
Ответ дал:
0
решение во вложении
Приложения:

Вас заинтересует
2 года назад
2 года назад
8 лет назад
8 лет назад
10 лет назад
10 лет назад