• Предмет: Математика
  • Автор: Amina1715
  • Вопрос задан 9 лет назад

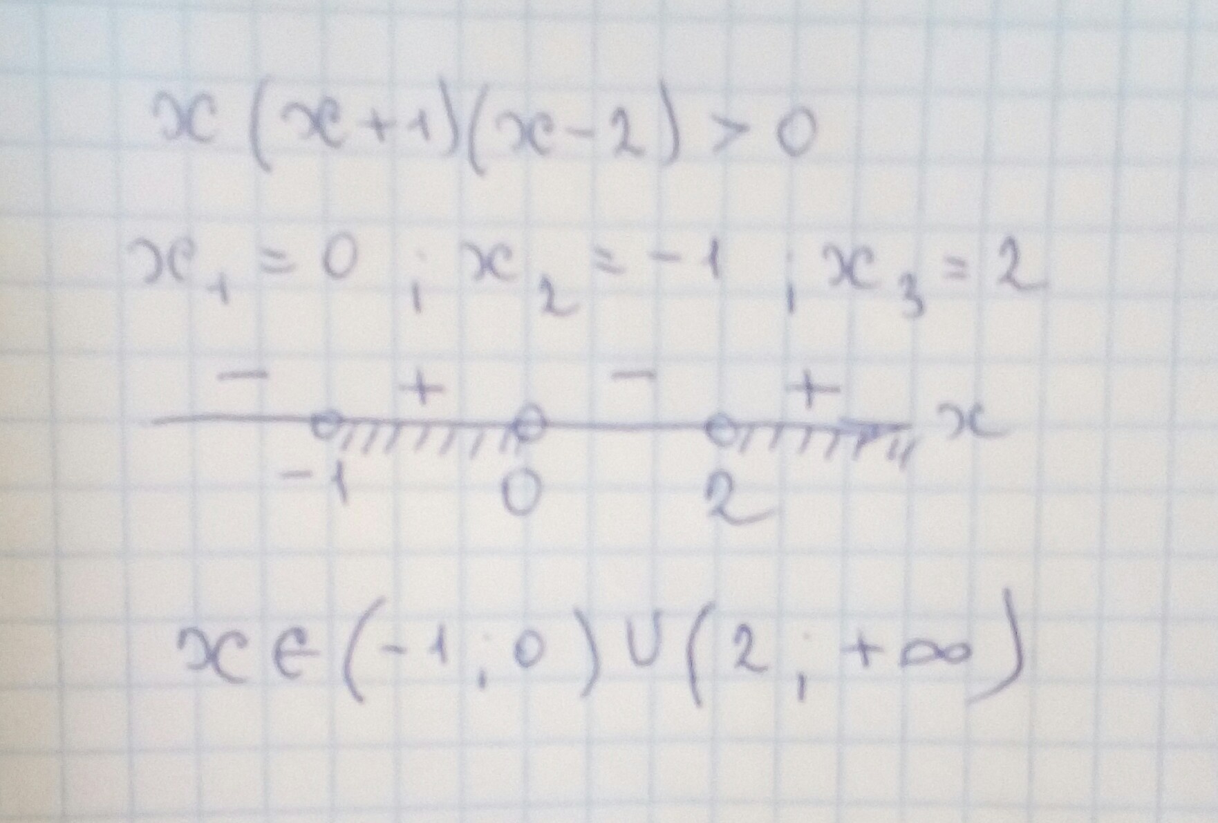
1)x(x+1)(x-2)> 0 решите с методом интервала

Ответы

Ответ дал: ЯгодкаЯлесная
0
фоточка тебе в помощь ;)
Приложения:
Ответ дал: Amina1715
0
А3
Ответ дал: Amina1715
0
Аууу
Ответ дал: ЯгодкаЯлесная
0
пишу, не мешай)
Ответ дал: Amina1715
0
Ок
Ответ дал: ЯгодкаЯлесная
0
задала
Ответ дал: anna2501v
0
Ответ: (-1; 0)U(2; +∞)
Решение прилагаю
Приложения:
Вас заинтересует