• Предмет: Алгебра
  • Автор: jeandri
  • Вопрос задан 8 лет назад

Помогите кто-нибудь!!!!
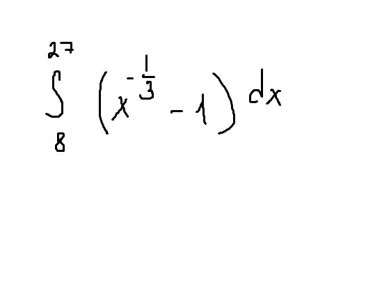
определенный интеграл! 

Приложения:

Ответы

Ответ дал: m11m
0
!!!!!!!!!!!!!!!!!!!!!!!!
Приложения:
Ответ дал: jeandri
0
Огромное спасибо!!! Помогите, пожалуйста, еще одно https://znanija.com/task/28033550
Ответ дал: jeandri
0
Мне кажется, что у вас ошибка
Ответ дал: jeandri
0
у нас же не x, а (x^2)/2
Вас заинтересует
10 лет назад