Решите:
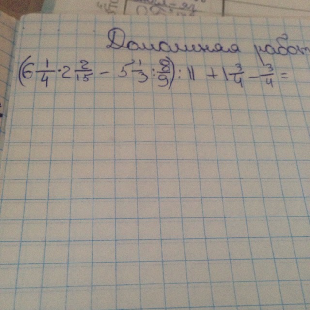
(6(1 дробь 4)•2(2 дробь 15)-5(1 дробь 3):(8 дробь 9)):11+1(3 дробь 4)-(3 дробь 4)
Приложения:

Ответы
Ответ дал:
0
.................................
Приложения:

Ответ дал:
0
Спасибо
Ответ дал:
0
удачи
Вас заинтересует
2 года назад
3 года назад
3 года назад
9 лет назад
9 лет назад
9 лет назад