Разложить на множетели
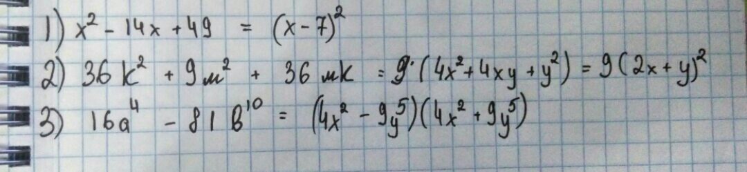
1) х (во 2) -14х+49
2)36 К (во 2) +9м во 2+36мк
3)16 а (в 4)- ☆ +81 b ( в 10)
Ответы
Ответ дал:
0
Честно говоря я не поняла что написано в третьем но надеюсь что вы имели ввиду это
Приложения:
Ответ дал:
0
Спасибо большое
Ответ дал:
0
1)x²-14x+49=x²-2*x*7+7²=(x-7)²
2)36k²+9m²+36mk=9m²+36mk+36k²=(3m)²+2*3m*6k+(6k)²=(3m+6k)²
3)16a⁴-81b^10=(4a²)²-(9b^5)²=(4a²-9b^5)(4a²+9b^5)
2)36k²+9m²+36mk=9m²+36mk+36k²=(3m)²+2*3m*6k+(6k)²=(3m+6k)²
3)16a⁴-81b^10=(4a²)²-(9b^5)²=(4a²-9b^5)(4a²+9b^5)
Приложения:
Вас заинтересует
2 года назад
3 года назад
3 года назад
9 лет назад
10 лет назад