Ответы
Ответ дал:
0
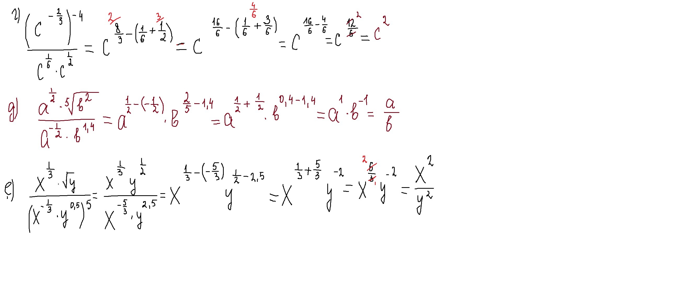
при умножении степеней с одинаковым основанием показатели складываются,а при делении-вычитаются.
а⁻ⁿ=1аⁿ
а⁻ⁿ=1аⁿ
Приложения:

Ответ дал:
0
спасибо большое
Вас заинтересует
2 года назад
2 года назад
3 года назад
3 года назад
10 лет назад