• Предмет: Химия
  • Автор: Ilyshenka1407
  • Вопрос задан 9 лет назад

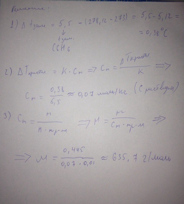
Гормон щитовидной железы – тироксин массой 0,445 г растворили в бензоле массой 10 г. Температура кристаллизации полученного раствора составила 278,12 К. Рассчитайте молярную массу тироксина. 
ОТвет 684г/моль

Ответы

Ответ дал: Аноним
0
Решение во вложении

Успехов в химии!
Приложения:
Ответ дал: Ilyshenka1407
0
Большое спасибо
Ответ дал: Аноним
0
не за что)
Вас заинтересует