Хелп
Представьте в виде многослена :
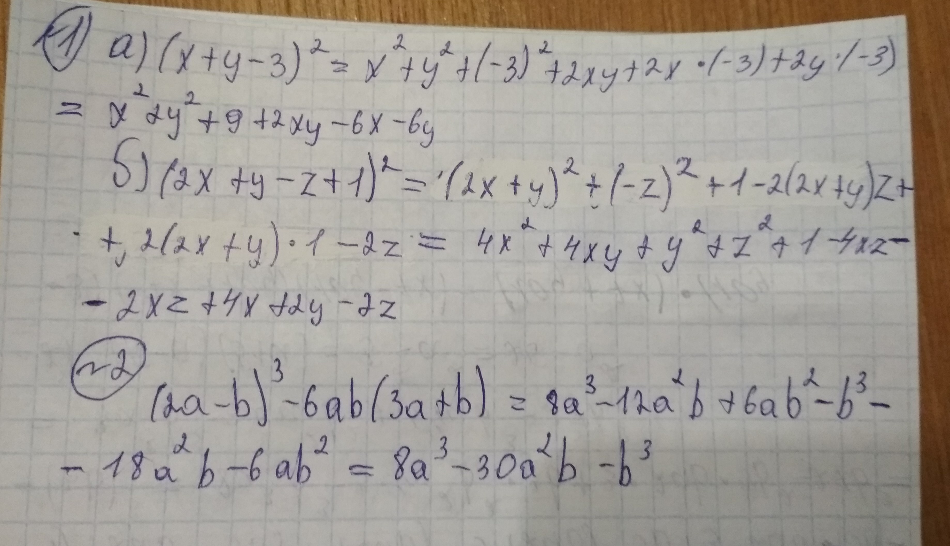
А) (х+у-3)²
Б) (2х+y-z+1)²
Упростите выражение :
(2а-b)³-6ab(3a+b)
Ответы
Ответ дал:
0
держи.................
Приложения:
Вас заинтересует
2 года назад
3 года назад
3 года назад
9 лет назад
9 лет назад
10 лет назад
10 лет назад