• Предмет: Математика
  • Автор: anastasiasavcen
  • Вопрос задан 8 лет назад

ПОМОГИТЕ ПОЖАЛУЙСТА
Вычислить производную в точке х0
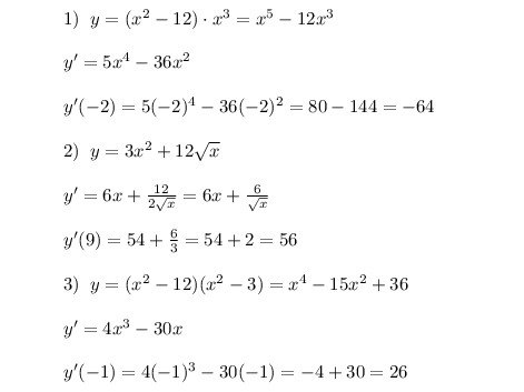
1) y=(x²-12)·x³, x0= -2
2) y=3x²+ 12√x, x0=9
3) y= (x²-12)(x²-3), x0=-1

Ответы

Ответ дал: NNNLLL54
0
...........................................................................................................................
Приложения:
Вас заинтересует