СРОЧНО ДАМ 15 БАЛЛОВ
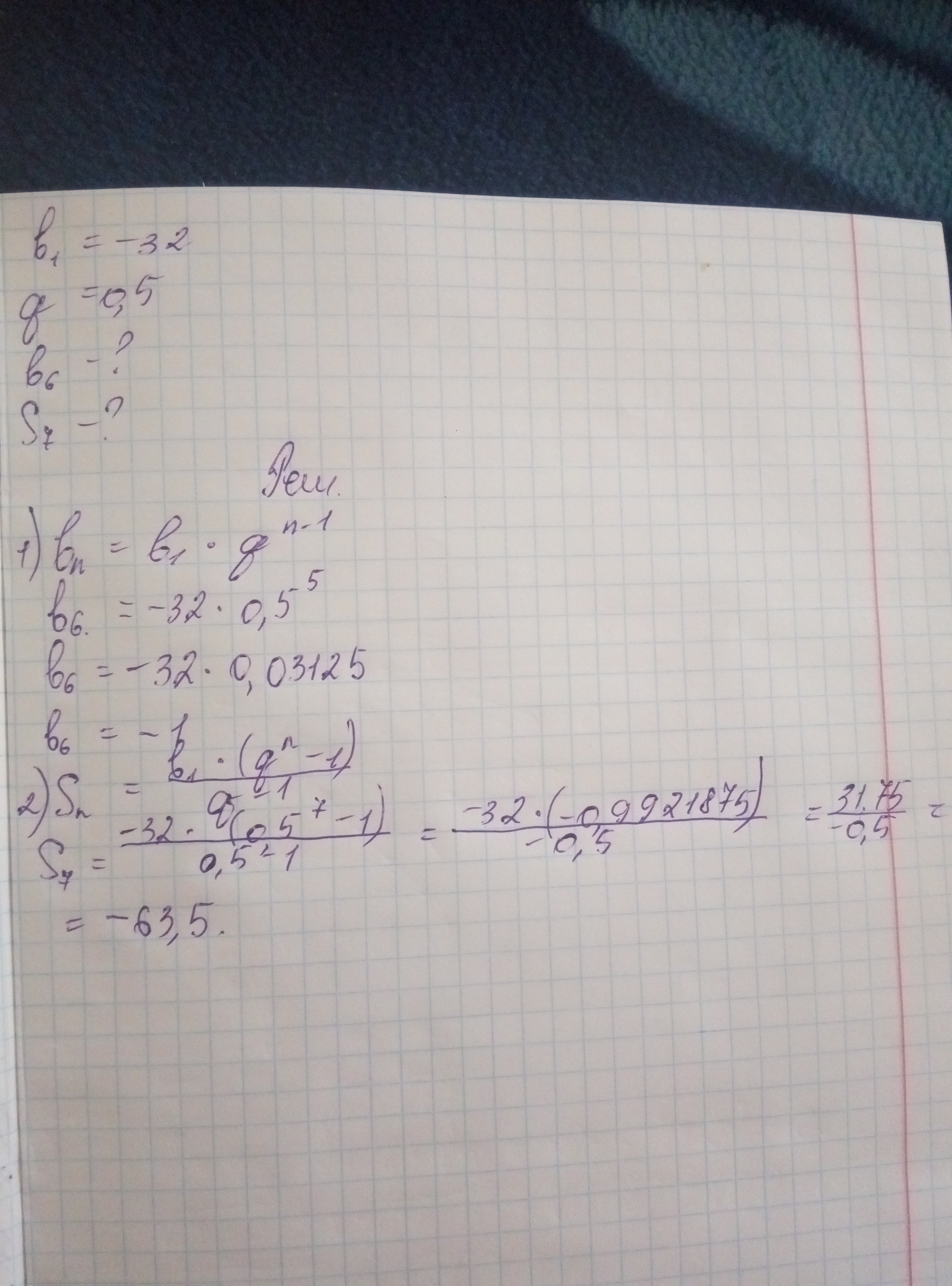
дана геометрическая прогрессия первый член которой равен -32 а знаменатель равен 0,5 а)найдите ее шестой член б)найдите сумму 7 членоа
Ответы
Ответ дал:
0
Ооооооооооооооооооооооооооо
Приложения:

Вас заинтересует
2 года назад
3 года назад
3 года назад
9 лет назад
10 лет назад