• Предмет: Алгебра
  • Автор: shadowbz
  • Вопрос задан 11 лет назад

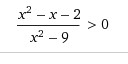
Напишите решение уравнения!

Приложения:

Ответа на этот вопрос пока нет. Попробуйте найти его через форму поиска.

Вас заинтересует