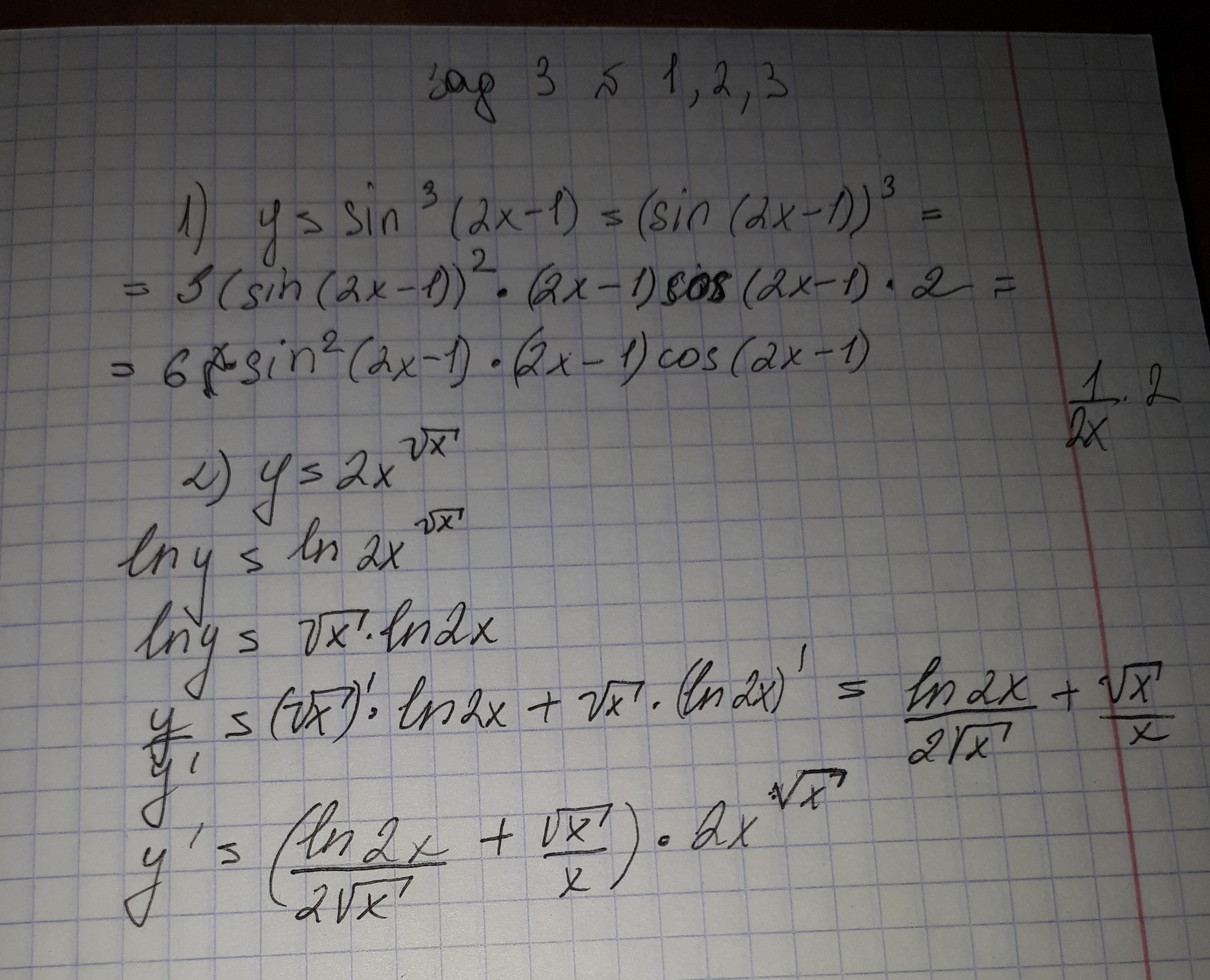
Посмотрите, пожалуйста решение,что не так? преподаватель написал,что НЕ все производные. что не так? Задание 3: номера: 1;2;3.
Приложения:
Ответы
Ответ дал:
0
без 3 номера, а во втором, у меня также получилось...
Приложения:
Вас заинтересует
2 года назад
2 года назад
3 года назад
3 года назад
9 лет назад
9 лет назад
10 лет назад