Ответы
Ответ дал:
0
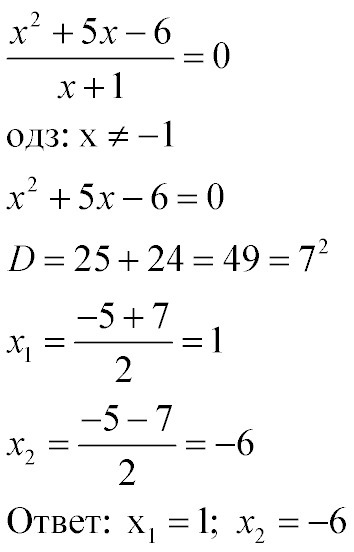
x≠-1
x²+5x-6=0
D=25+24=49
x1=(-5+7)/2= 1
x2=(-5-7)/2= -6
x²+5x-6=0
D=25+24=49
x1=(-5+7)/2= 1
x2=(-5-7)/2= -6
Ответ дал:
0
решение и ответ во вложении
Приложения:

Вас заинтересует
2 года назад
3 года назад
3 года назад
9 лет назад