Ответы
Ответ дал:
0
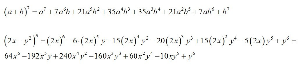
Есть такая штука - треугольник Паскаля. В его строках записаны коэффициенты разложения для каждой степени. Я выделила там для 6 и 7 степеней.
Приложения:


Вас заинтересует
2 года назад
3 года назад
3 года назад
9 лет назад
9 лет назад
10 лет назад