• Предмет: Геометрия
  • Автор: juliasamargina444
  • Вопрос задан 9 лет назад

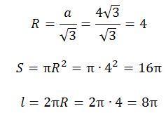
Сторона правильного треугольника, вписанного в окружность, равна 4√3. Найдите площадь круга и длину окружности.

Ответы

Ответ дал: vkalmikov
0
Сторона правильного треугольника, вписанного в окружность
Приложения:
Вас заинтересует