• Предмет: Математика
  • Автор: ims420
  • Вопрос задан 8 лет назад

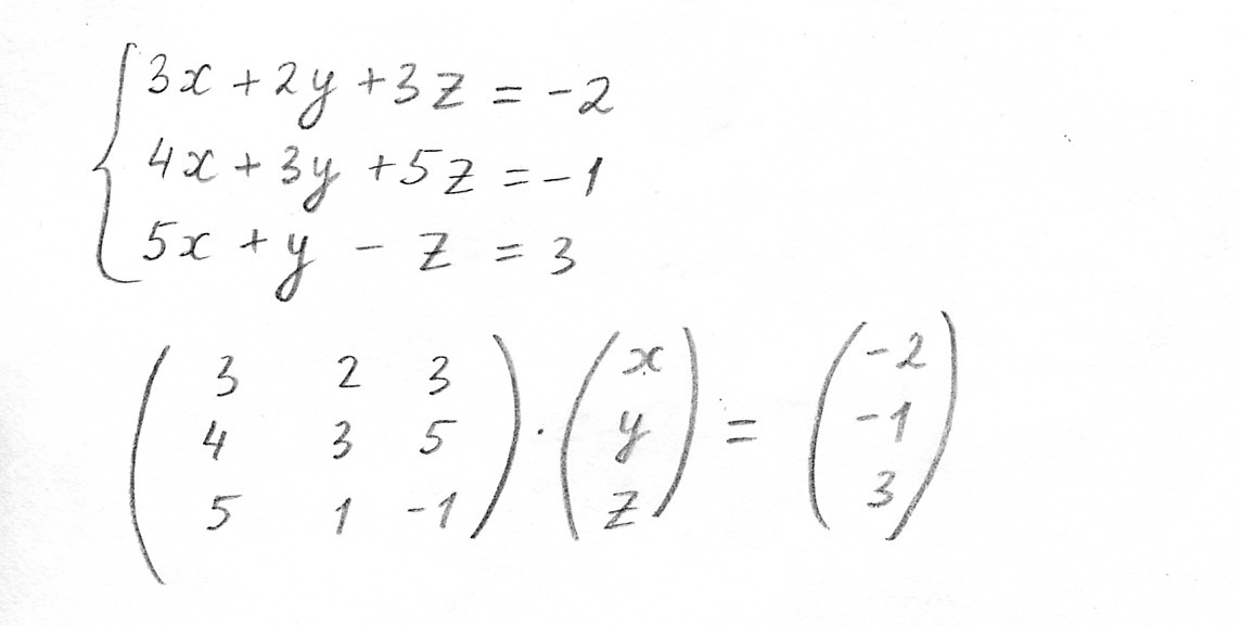
Помогите решить 4 задание
Плиииз

Приложения:

Ответы

Ответ дал: Аноним
0
смотри прикрепленный листочек ===>>
Приложения:
Ответ дал: Khasbulatov
0
что вам написать
Ответ дал: ims420
0
Препод проверку ещё требует
Ответ дал: Khasbulatov
0
бл я щя на уроке
Ответ дал: Khasbulatov
0
щяс не могу сор
Ответ дал: Khasbulatov
0
щяс не могу сор
Вас заинтересует