• Предмет: Математика
  • Автор: ксюня19081
  • Вопрос задан 8 лет назад

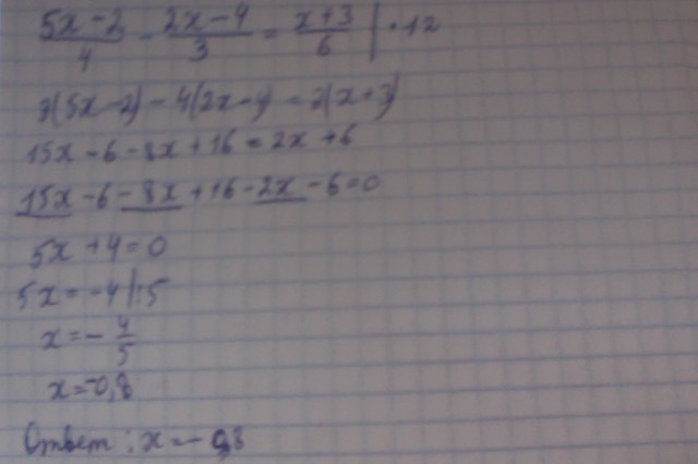
решите уравнения . Расписывая .

Приложения:

Ответы

Ответ дал: Dmitry1986
0
.......................
Приложения:
Вас заинтересует