• Предмет: Математика
  • Автор: maryohmarymary
  • Вопрос задан 8 лет назад

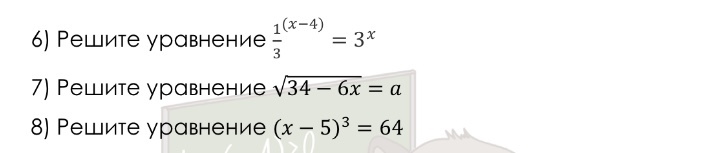
Решить седьмое. Помогите, срочно!!

Приложения:

Ответа на этот вопрос пока нет. Попробуйте найти его через форму поиска.

Вас заинтересует