Ответы
Ответ дал:
0
.....................................
Приложения:

Ответ дал:
0
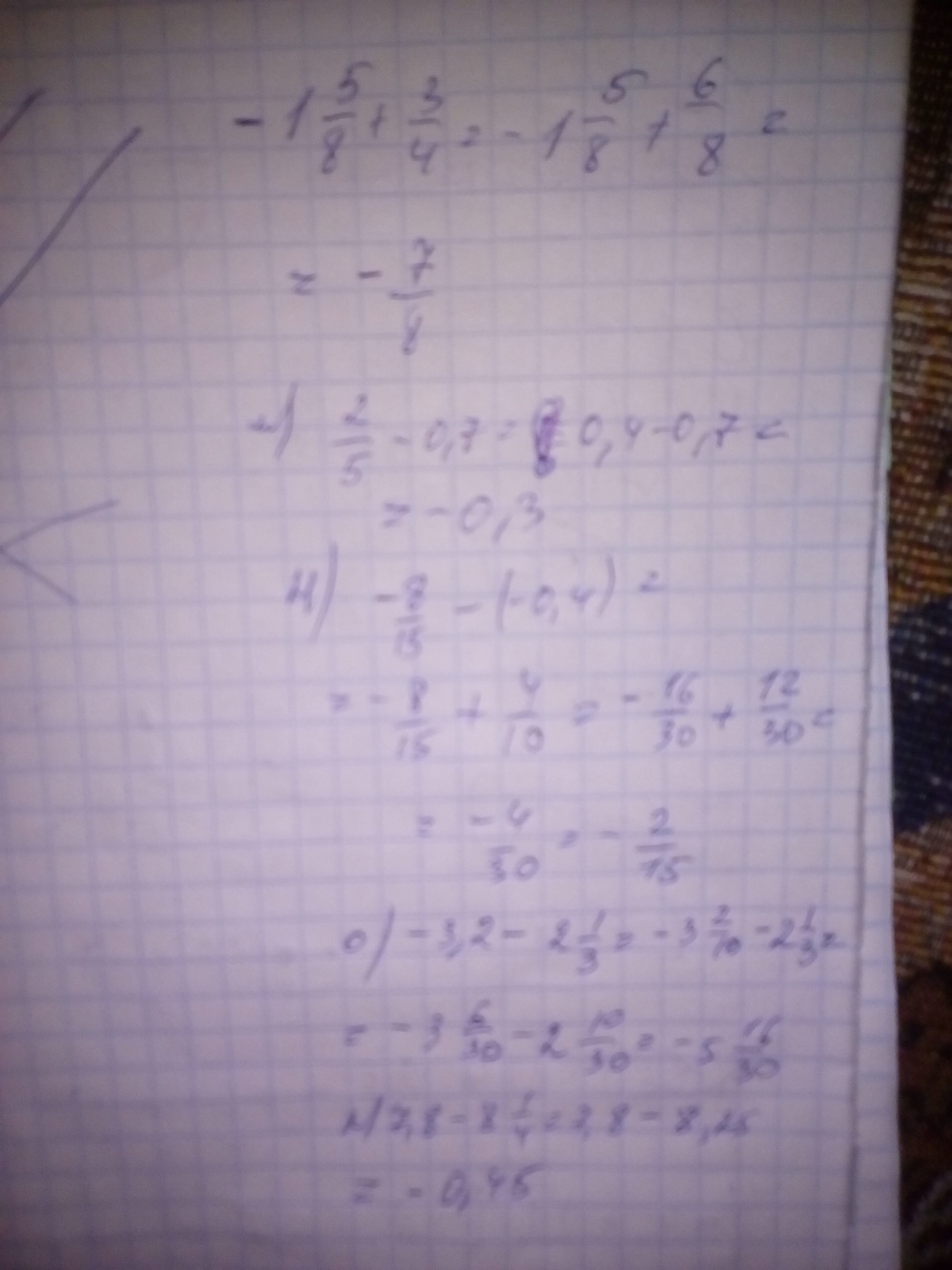
л) -1 5/8 + 3/4 = - 13/8 + 3/4(общий делитель 8) = -13/8 + 6/8 = - 7/8
м) 2/5 - 0,7 = 2/5(общий делитель 10) - 7/10 = 4/10 - 7/10 = - 3/10
н) - 8/15 - (-0,4) = - 8/15 + 4/10(общий делитель 30) = - 16/30 + 12/30 = - 4/30 = - 2/15
о) -3,2 - 2 1/3 = - 32/10 - 7/3(общий делитель 30) = - 96/30 - 21/30 = - 117/30 = - 3,9
п) 7,8 - 8 1/4 = 78/10 - 33/4(общий делитель 20) = 156/20 - 165/20 = - 9/20
м) 2/5 - 0,7 = 2/5(общий делитель 10) - 7/10 = 4/10 - 7/10 = - 3/10
н) - 8/15 - (-0,4) = - 8/15 + 4/10(общий делитель 30) = - 16/30 + 12/30 = - 4/30 = - 2/15
о) -3,2 - 2 1/3 = - 32/10 - 7/3(общий делитель 30) = - 96/30 - 21/30 = - 117/30 = - 3,9
п) 7,8 - 8 1/4 = 78/10 - 33/4(общий делитель 20) = 156/20 - 165/20 = - 9/20
Приложения:

Вас заинтересует
2 года назад
2 года назад
3 года назад
3 года назад
9 лет назад