• Предмет: Математика
  • Автор: Danmokovka
  • Вопрос задан 9 лет назад

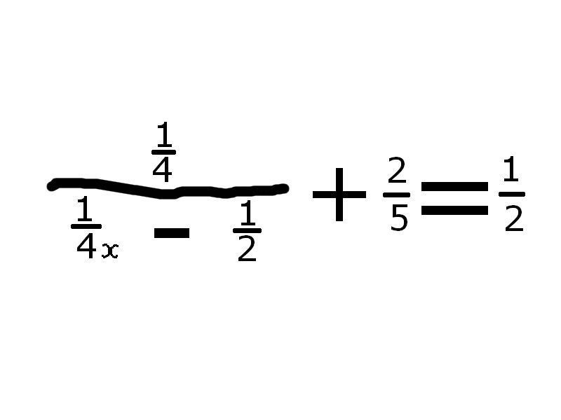
SOS! решить уравнение помогите!
Я буду очень благодарен!!!!!!!!!!

Приложения:

Ответа на этот вопрос пока нет. Попробуйте найти его через форму поиска.

Вас заинтересует