• Предмет: Математика
  • Автор: seven23
  • Вопрос задан 9 лет назад

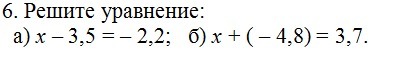
Решите уравнение с рациональными числами

Приложения:

Ответа на этот вопрос пока нет. Попробуйте найти его через форму поиска.

Вас заинтересует