Помогите решить.
Найдите производную функции f (x) в указанной точке.
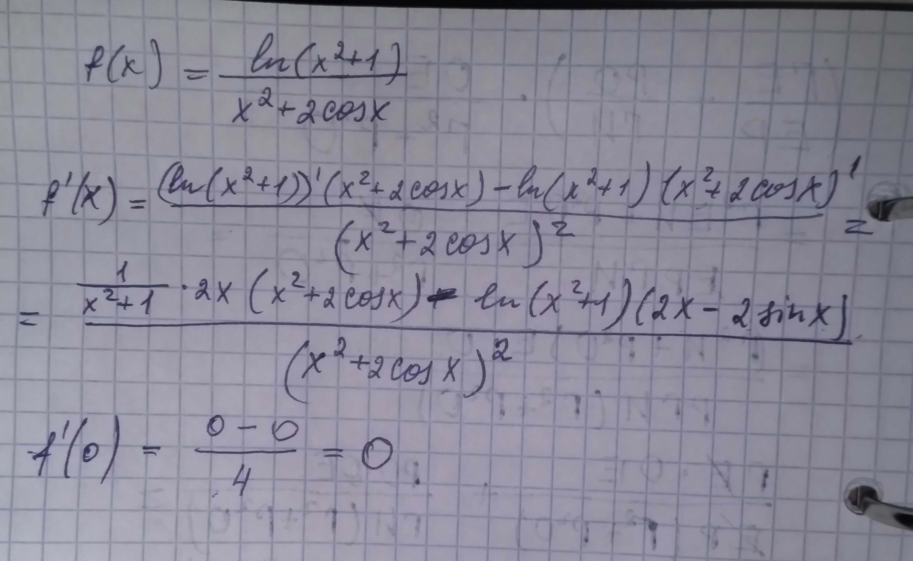
f(x)=(ln(x^2+1))/(x^2+2cosx)
Приложения:

Ответы
Ответ дал:
0
Использовали правило - производная частного
Приложения:

Вас заинтересует
2 года назад
2 года назад
3 года назад
3 года назад
9 лет назад
9 лет назад
9 лет назад
9 лет назад