Ответы
Ответ дал:
0
Замени k одночленом так, чтобы получился квадрат бинома
k²+5x+16x2
k²+5x+16x² = (4x)² +2*4x*(5/8) + (5/8)² + k² -(5/8)² = (4x +5/8)² + k² - (5/8)² .
k² - (5/8) =0 ⇔ k² =5/8
k²+5x+16x2
k²+5x+16x² = (4x)² +2*4x*(5/8) + (5/8)² + k² -(5/8)² = (4x +5/8)² + k² - (5/8)² .
k² - (5/8) =0 ⇔ k² =5/8
Ответ дал:
0
Спасибо
Ответ дал:
0
Ответ 25/64
Ответ дал:
0
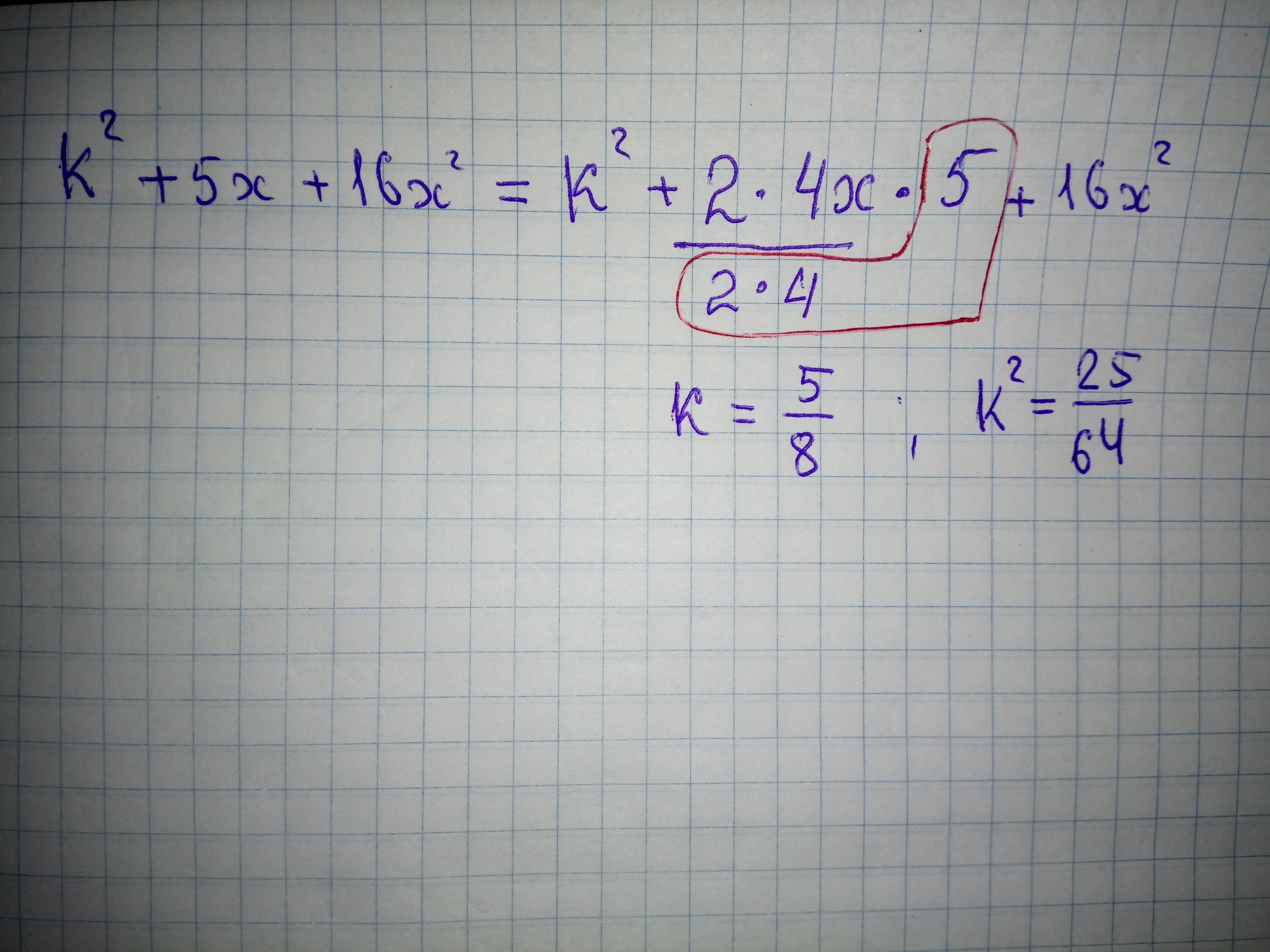
Решение задания приложено
Приложения:

Вас заинтересует
2 года назад
3 года назад
3 года назад