• Предмет: Алгебра
  • Автор: nikysia17
  • Вопрос задан 8 лет назад

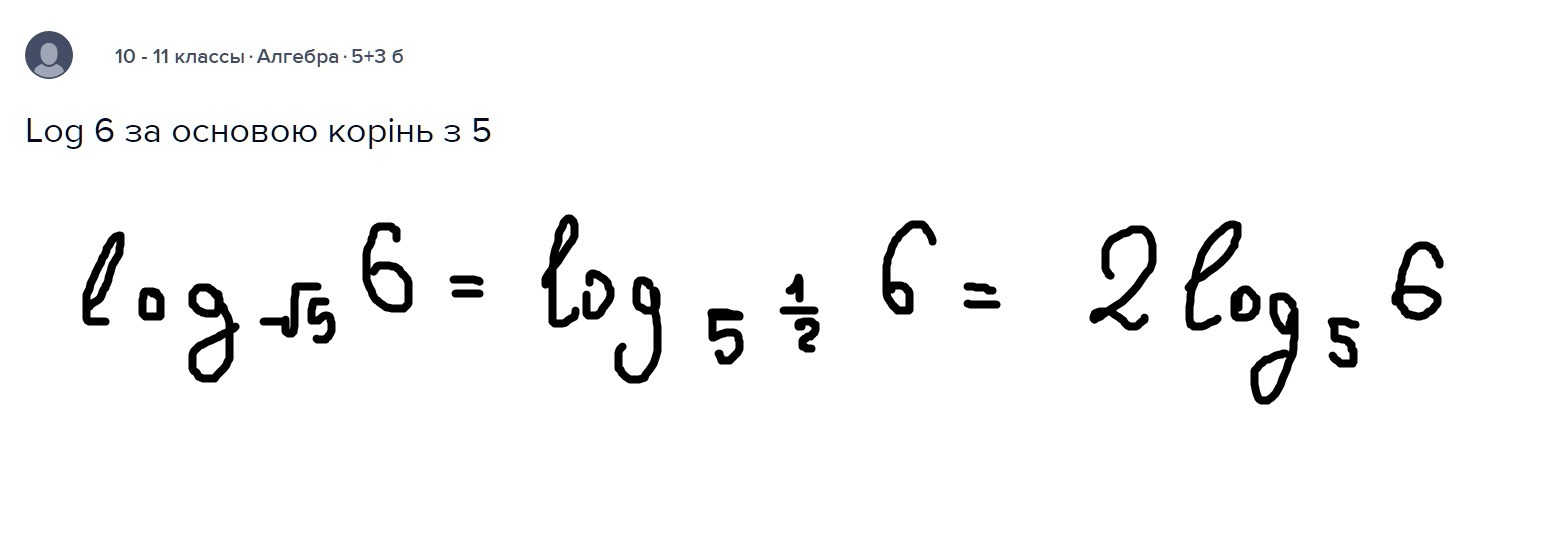
log 6 за основою корінь з 5

Ответы

Ответ дал: kartew
0
Готово! Ответ на фото:
Приложения:
Вас заинтересует