• Предмет: Геометрия
  • Автор: ИринаМиша
  • Вопрос задан 8 лет назад

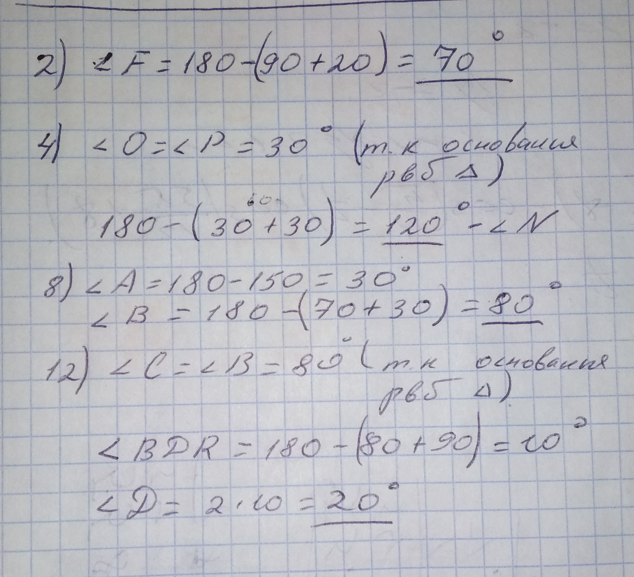
Помогите решить номер 2,4,12,8
Срочно!!Заранее спасибо

Приложения:

Ответы

Ответ дал: ощорщ
0
Если я все помню,то вот так:
Приложения:
Ответ дал: ИринаМиша
0
Спасибо вам огромное!
Ответ дал: ощорщ
0
пожалуйста:)))
Вас заинтересует