Помогите пожалуйста! Дано вершини трикутника ABC A(2; 7-6), B(7-3; 1), C(4; 7-1)
Потрібно:
а) записати рівняння сторони AB;
б)скласти рівняння висоти ВД;
в) скласти рівняння висоти ВД і знайти її довжину.
7=0 А(2; -7) В (-3;1) С(4-1)
Дам 30 балів! Дуже потрібно, поможіть будь ласка!!!
Ответы
Ответ дал:
0
а)система x=2*t+2;
y=1;
б)y = -2/5x + 13/5
в)
Найдем расстояние между точкой B(4;1) и прямой AC (2y -5x +8 = 0)
(см. 2ую картинку)
Длину высоты можно вычислить и по формуле, как расстояние между точкой B(4;1) и точкой D(66/29;49/29).
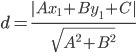
Расстояние между двумя точками выражается через координаты формулой: (см 1 картинку)
y=1;
б)y = -2/5x + 13/5
в)
Найдем расстояние между точкой B(4;1) и прямой AC (2y -5x +8 = 0)
(см. 2ую картинку)
Длину высоты можно вычислить и по формуле, как расстояние между точкой B(4;1) и точкой D(66/29;49/29).
Расстояние между двумя точками выражается через координаты формулой: (см 1 картинку)
Приложения:


Вас заинтересует
2 года назад
2 года назад
3 года назад
3 года назад
9 лет назад
10 лет назад