• Предмет: Алгебра
  • Автор: mariyatimoshenko
  • Вопрос задан 8 лет назад

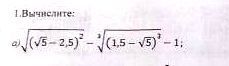
Помогите, пожалуйста, решить пример

Приложения:

Ответа на этот вопрос пока нет. Попробуйте найти его через форму поиска.

Вас заинтересует