• Предмет: Алгебра
  • Автор: Volosyaka
  • Вопрос задан 9 лет назад

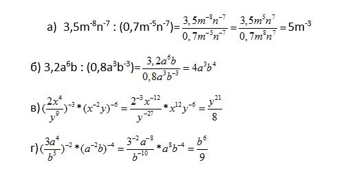
Друзья, решите пожалуйста, срочно надо

Приложения:

Ответы

Ответ дал: buysp2p3ij
0
Советую ознакомиться с формулами.
Это очень нужные вещи. Лучше научиться их решать
Приложения:
Вас заинтересует