• Предмет: Алгебра
  • Автор: артур669
  • Вопрос задан 9 лет назад

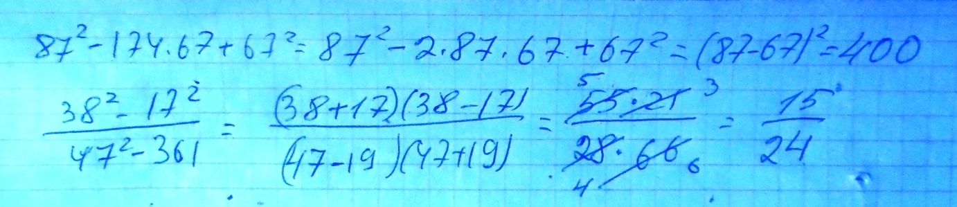
номер 3 помогите срочно!!!! пж

Приложения:

Ответы

Ответ дал: miron2077
0
!!!!!!!!!!!!!!!!!!!!!!!!!!!!
Приложения:
Вас заинтересует