Ответы
Ответ дал:
0
а) сокращаем а, б, 2 и 4. Остается 1/2с^2
б) сокращаем 6 и 3.остается 2фс/а
б) сокращаем 6 и 3.остается 2фс/а
Ответ дал:
0
Объяснение:
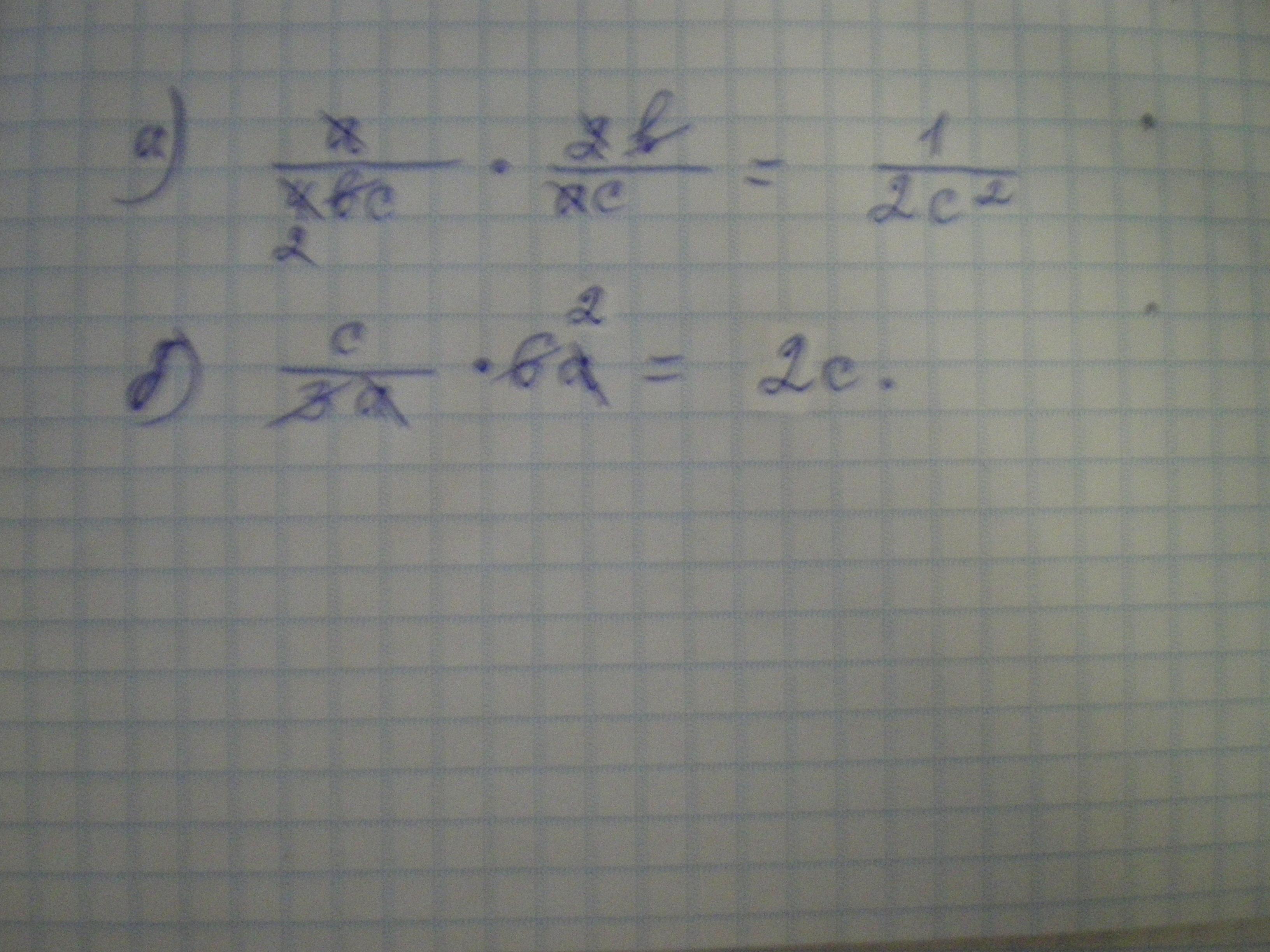
а) a/4bc * 2b/ac = 1/2с²
б) c/3a * 6а = 2с
Приложения:

Вас заинтересует
2 года назад
3 года назад
9 лет назад
9 лет назад
10 лет назад