• Предмет: Алгебра
  • Автор: holmskaja
  • Вопрос задан 8 лет назад

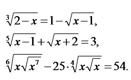
Второе уравнение
________________

Приложения:

Ответы

Ответ дал: m11m
0
!!!!!!!!!!!!!!!!!!!!!!
Приложения:
Ответ дал: holmskaja
0
Спасибо!!!
Ответ дал: tamarabernukho
0
Корень один, так как слева функция возрастает, справа константа
Вас заинтересует