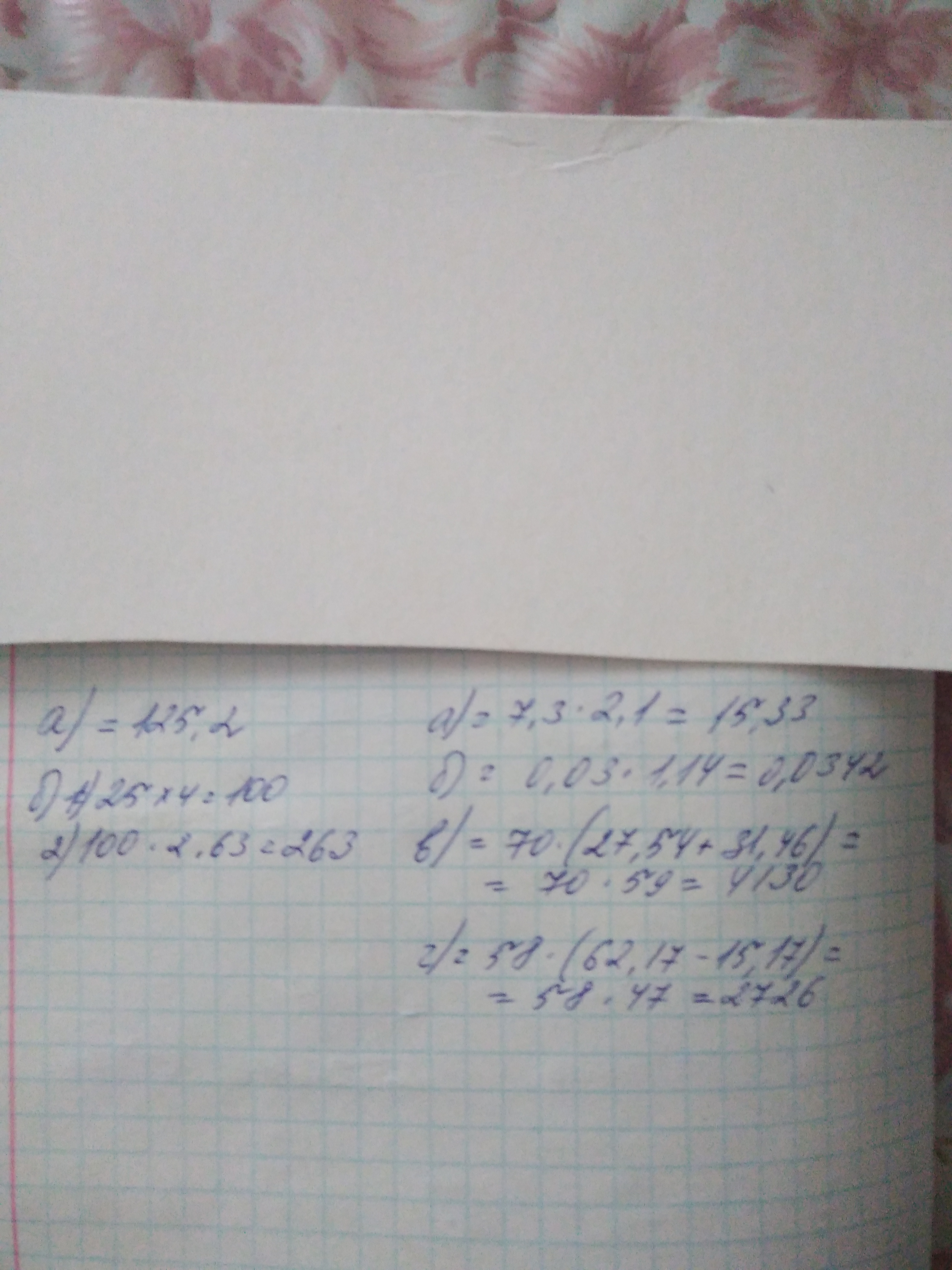
1) Вычислите, применив свойства умножения:
А) 10 × 12,52;
Б) 25 × 2,63 × 4;
2) Вычислите, применив свойства умножения:
А) 7,3 × (1,4 + 0,7);
Б) 0,03 × (1,84 - 0,7);
В) 70 × 27,54 + 70 × 31,46
Г) 58 × 62,17 - 58 × 15,17.
Ответы
Ответ дал:
0
....................
Приложения:

Вас заинтересует
2 года назад
2 года назад
3 года назад
9 лет назад
10 лет назад