• Предмет: Алгебра
  • Автор: an20023
  • Вопрос задан 9 лет назад

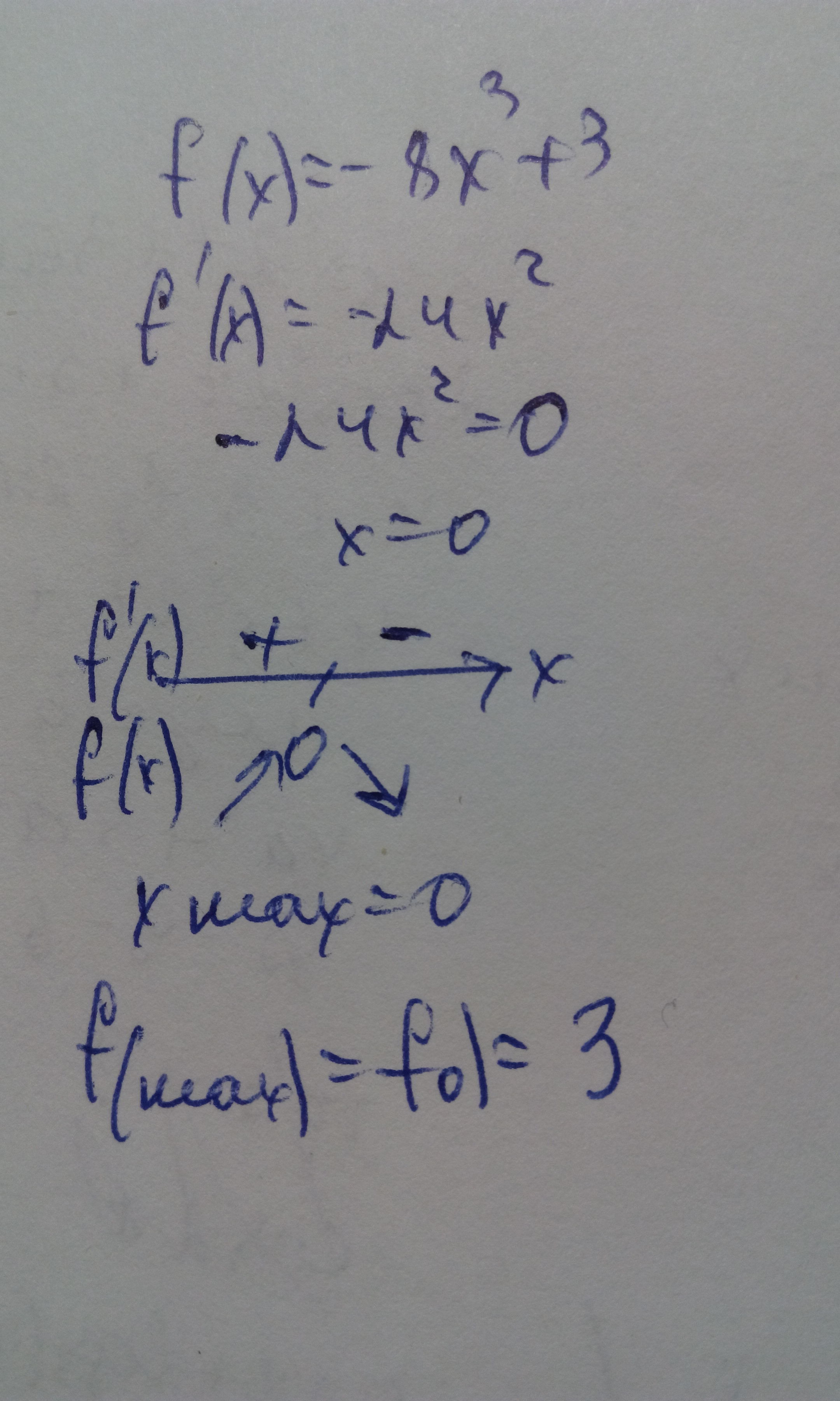
Найти экстремумы функции f(x)=-8x3+3

Ответы

Ответ дал: irinan2014
0
Решение дано на фото.
Приложения:
Вас заинтересует