• Предмет: Химия
  • Автор: RIPMAW
  • Вопрос задан 9 лет назад

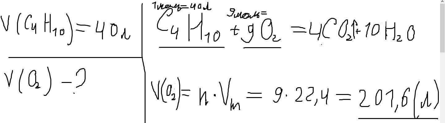
Какой объем кислорода потребуется для сжигания 50 литров бутана?

Ответы

Ответ дал: Аноним
0
Решение на картинке. Ответ: 201,6 литра
Приложения:
Вас заинтересует