• Предмет: Математика
  • Автор: pkvapavr
  • Вопрос задан 9 лет назад

Пожалуйста с полным решением !

Приложения:

Ответы

Ответ дал: flsh
0
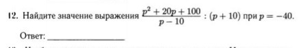
p²+20p+100 / p-10 : (p+10) = (p+10)² / (p-10)(p+10) = p+10 / p-10 = -40+10 / -40-10 = 3/5 = 0,6
Вас заинтересует