• Предмет: Алгебра
  • Автор: diankatom
  • Вопрос задан 9 лет назад

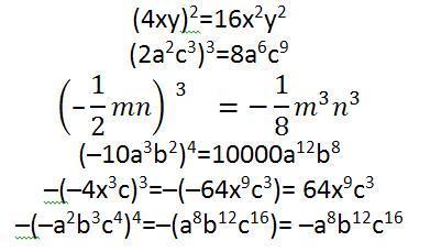
Выполните возведение одночлена в степень:
помогите пожалуйста!!

Приложения:

Ответы

Ответ дал: vkalmikov
0
Выполните возведение одночлена в степень
Приложения:
Вас заинтересует