Пожалуйста, с решением , дам 40 баллов!
1. Упростите выражение
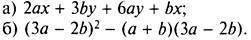
2. Разложите на множители выражение:
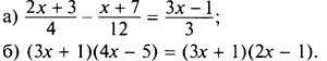
3. Решите уравнение:
4. Докажите, что выражение кратно 37.
                        
                                    Приложения:
                    
                            
                            
                            
                            Ответа на этот вопрос пока нет. Попробуйте найти его через форму поиска.
Вас заинтересует
                
                        3 года назад
                    
                
                        3 года назад
                    
                
                        9 лет назад
                    
                
                        10 лет назад
                    
                
                        10 лет назад