• Предмет: Математика
  • Автор: ISIXON
  • Вопрос задан 9 лет назад

Помощь с данным заданием

Приложения:

Ответы

Ответ дал: justcall
0
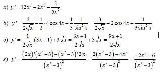
решение смотри ниже.
Приложения:
Вас заинтересует