Ответы
Ответ дал:
0
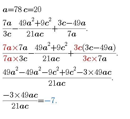
...........................................
Приложения:

Вас заинтересует
3 года назад
3 года назад
9 лет назад
9 лет назад
9 лет назад