• Предмет: Математика
  • Автор: Елена34583483946
  • Вопрос задан 8 лет назад

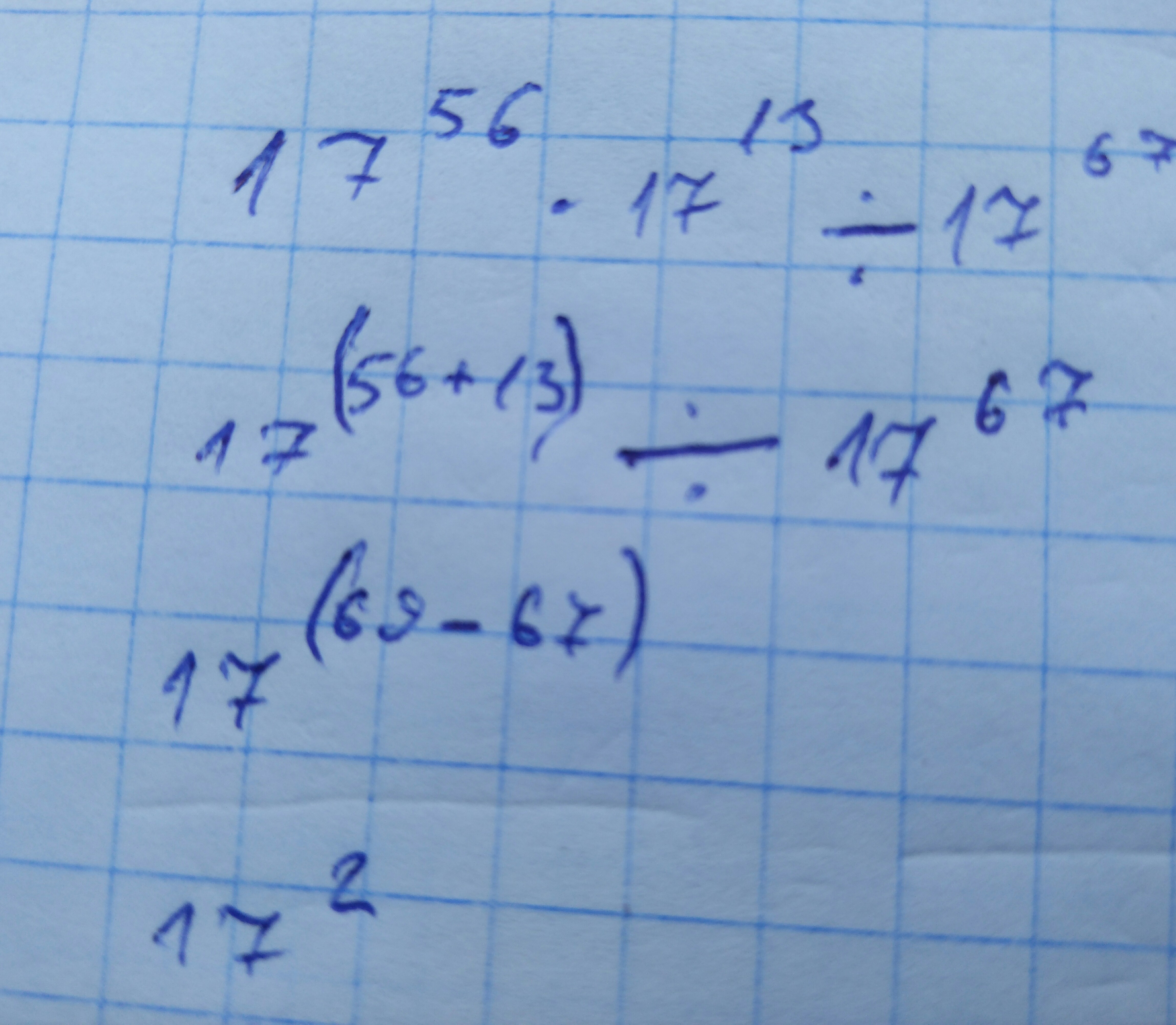
найдите значение выражения 17⁵⁶×17¹³÷17⁶⁷=

Ответы

Ответ дал: krusen
0
при умножении степени складываются, а при делении вычитаются. ответ 17²=289
Приложения:
Вас заинтересует