• Предмет: Информатика
  • Автор: Баггинет
  • Вопрос задан 9 лет назад

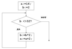
Определите значение переменной a после выполнения фрагмента алгоритма.

Приложения:

Ответы

Ответ дал: elenaklon
0
a=16     b=2
b<>32 (да, 2 не равно 32)
b= b*2=2*2=4
a=a+2=16+2=18
Вас заинтересует