Ответы
Ответ дал:
0
1. y = x² + 6x + 8 = (x + 3)² - 1
График функции - квадратичная парабола с вершиной в точке (-3; -1).
Ветви направлены вверх. Пересечение с осями
OX: y = 0;
(x + 3)² - 1 = 0 ⇒ (x + 3)² = 1
1) x + 3 = 1 2) x + 3 = -1
x₁ = -2 x₂ = -4
OY: x = 0; y = 0² + 6*0 + 8 = 8
2. x + y = -2 ⇒ y = - x - 2
График функции - прямая линия. Пересечение с осями
x = 0; y = -2
y = 0; x = -2
3. Точки пересечения графиков
x² + 6x + 8 = -x - 2
x² + 7x + 10 = 0
D = 7² - 4*10 = 9 = 3²
x₁ = (-7 - 3)/2 = -5; x₂ = (-7 + 3)/2 = -2
y₁ = -(-5) - 2 = 3; y₂ = -(-2) - 2 = 0
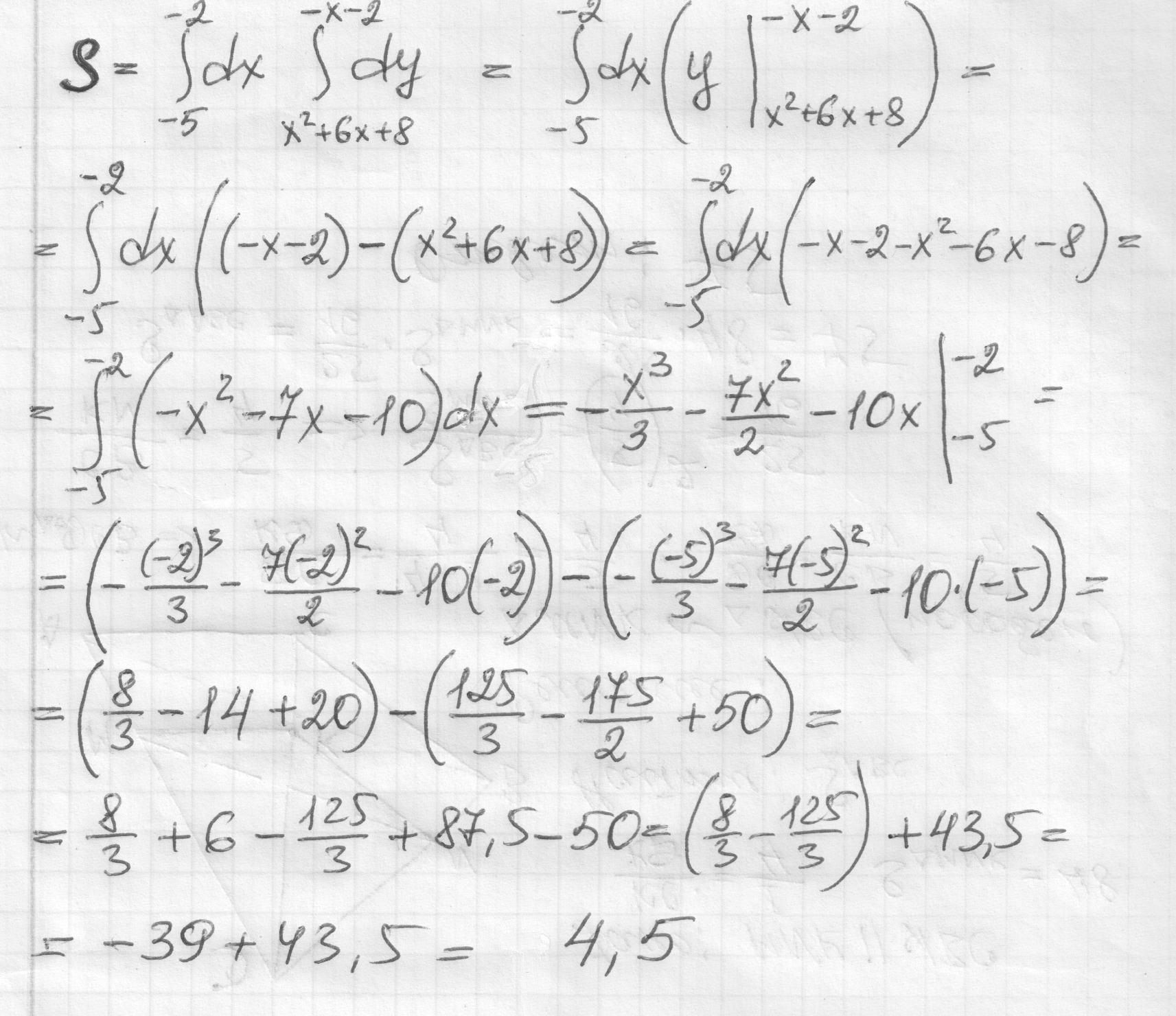
4. Область интегрирования D
по оси OX: -5 ≤ x ≤ -2
по оси OY: от параболы y=x²+6x+8 до прямой y=-x-2
5.

Вычисление интеграла во вложении
Ответ: площадь равна 4,5
График функции - квадратичная парабола с вершиной в точке (-3; -1).
Ветви направлены вверх. Пересечение с осями
OX: y = 0;
(x + 3)² - 1 = 0 ⇒ (x + 3)² = 1
1) x + 3 = 1 2) x + 3 = -1
x₁ = -2 x₂ = -4
OY: x = 0; y = 0² + 6*0 + 8 = 8
2. x + y = -2 ⇒ y = - x - 2
График функции - прямая линия. Пересечение с осями
x = 0; y = -2
y = 0; x = -2
3. Точки пересечения графиков
x² + 6x + 8 = -x - 2
x² + 7x + 10 = 0
D = 7² - 4*10 = 9 = 3²
x₁ = (-7 - 3)/2 = -5; x₂ = (-7 + 3)/2 = -2
y₁ = -(-5) - 2 = 3; y₂ = -(-2) - 2 = 0
4. Область интегрирования D
по оси OX: -5 ≤ x ≤ -2
по оси OY: от параболы y=x²+6x+8 до прямой y=-x-2
5.
Вычисление интеграла во вложении
Ответ: площадь равна 4,5
Приложения:
Вас заинтересует
2 года назад
2 года назад
3 года назад
3 года назад
9 лет назад
9 лет назад
10 лет назад