• Предмет: Алгебра
  • Автор: Хаджира
  • Вопрос задан 8 лет назад

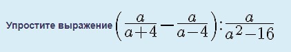
помогите!!!!!!!!!!!!!!!!!!!!!!!!!!!!!!!!!!!

Приложения:

Ответы

Ответ дал: vbrmad
0
[tex] frac{a(a-4)-a(a+4)}{a^2-16} *[tex] frac{a^2-16}{a} = frac{-8a}{a} 
= -8



Ответ дал: vbrmad
0
(a(a-4)-a(a+4))числитель/(a^2-16)(знаменатель)*(a^2-16) (числитель)/a (знаменатель)=-8а/a=-8
Вас заинтересует