Ответы
Ответ дал:
0
Решено 
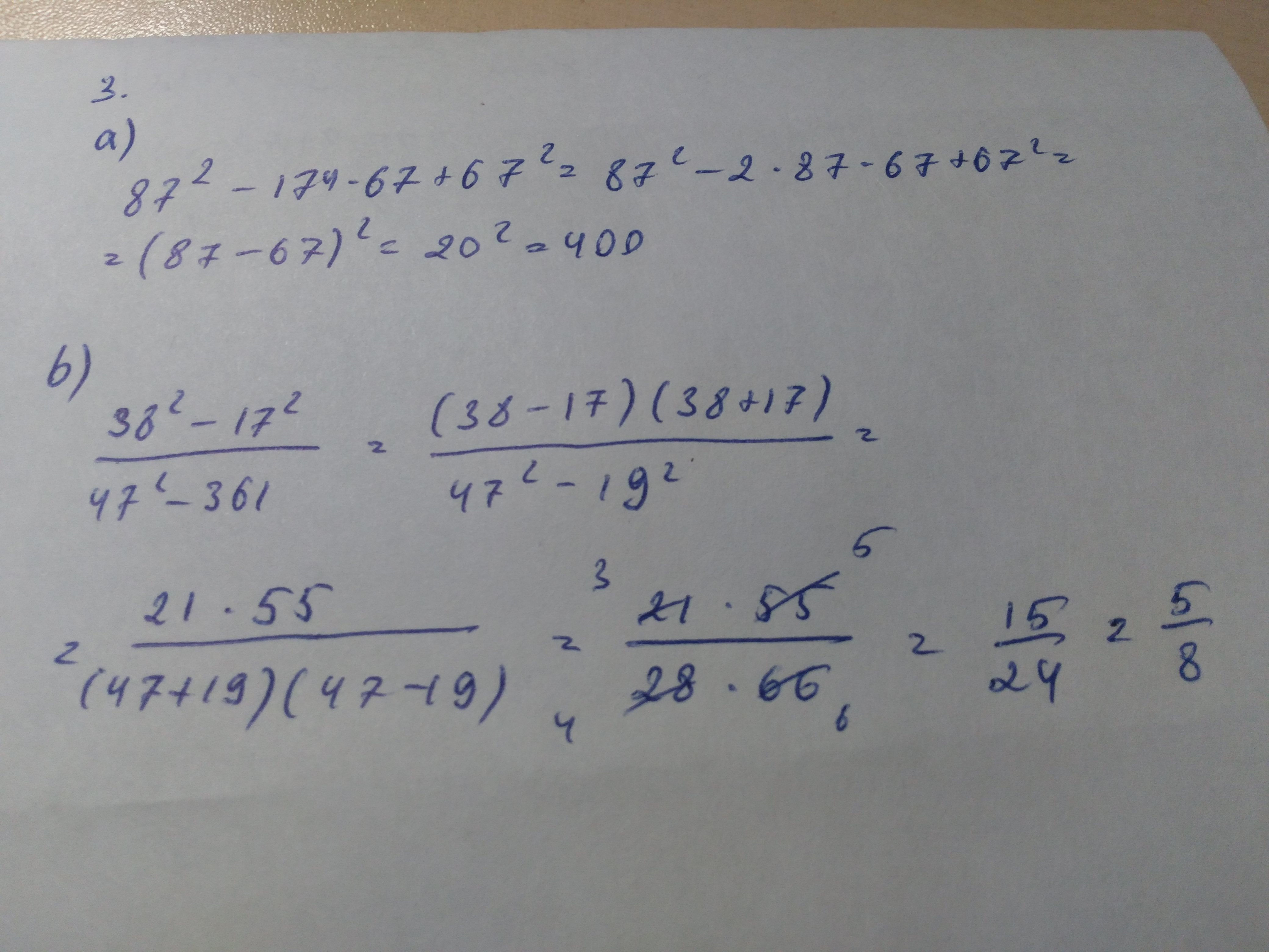
Все делается через формулы сокращенного умножения. Их учить надо.
Все делается через формулы сокращенного умножения. Их учить надо.
Приложения:

Ответ дал:
0
Можешь ещё помочь? Зайди в профиль и проверь пожалуйста)
Вас заинтересует
2 года назад
2 года назад
3 года назад
3 года назад
9 лет назад
9 лет назад
10 лет назад