Ответы
Ответ дал:
0
4)log (4)(x+4)=<1.
Данное неравенство равносильна систем неравенств, так как по определению log , аргумент х+4 положительный и х+4=<4^1.
{х+4> 0
{х+4=<4.
Решим:
{х>-4
{х=<0.
-4 <х=<0.
ответ будет х €(-4; 0]
Данное неравенство равносильна систем неравенств, так как по определению log , аргумент х+4 положительный и х+4=<4^1.
{х+4> 0
{х+4=<4.
Решим:
{х>-4
{х=<0.
-4 <х=<0.
ответ будет х €(-4; 0]
Приложения:
Ответ дал:
0
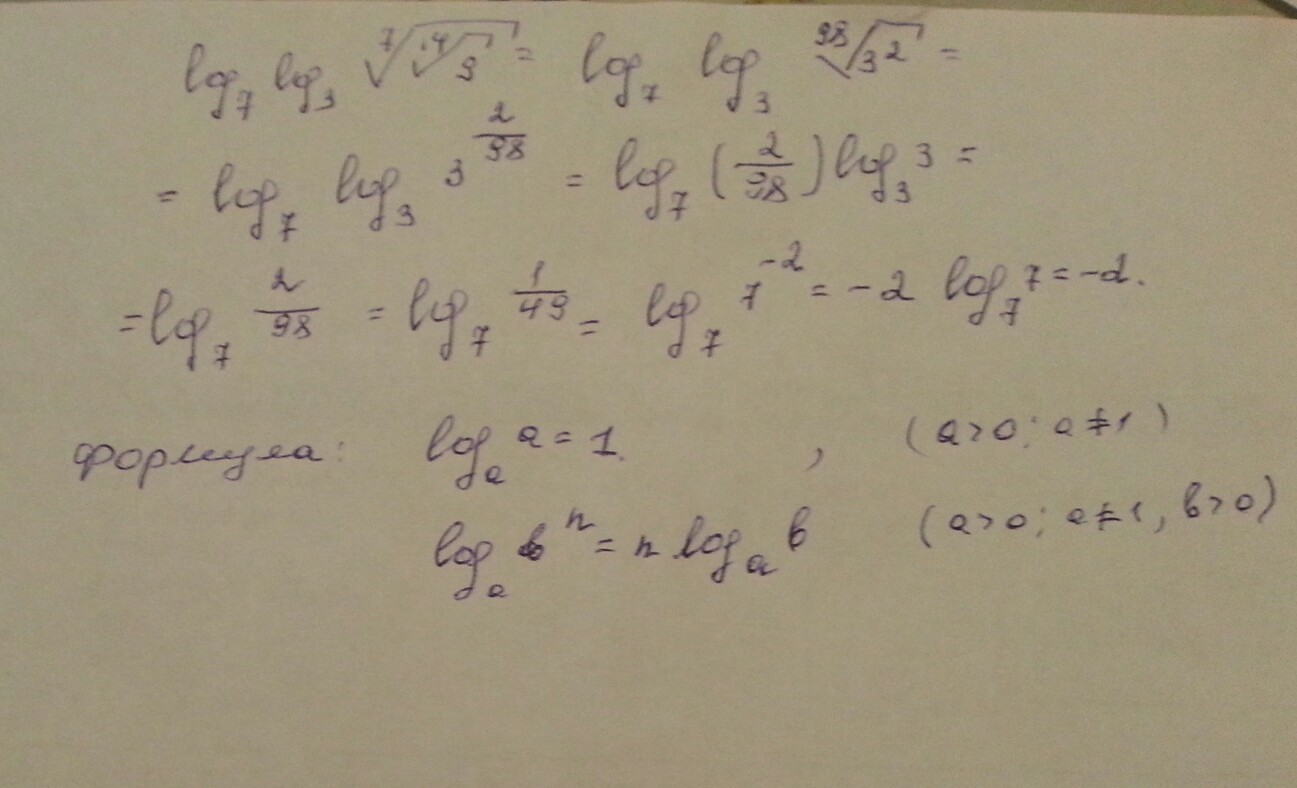
У нас log log a^b=log (b log a).я думаю, верно так.
Ответ дал:
0
Но log loga^b не равно b logloga
Ответ дал:
0
так как степень в относится ВТОРОМУ логарифму.
Ответ дал:
0
ПОЭТОМУ в исправлении не вижу смысла, но если модераторы не так считают, лучше удалите.
Вас заинтересует
2 года назад
3 года назад
3 года назад
9 лет назад
9 лет назад
10 лет назад