Ответы
Ответ дал:
0
Добавлю ответ.
/////////////////
/////////////////
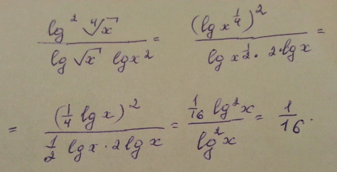
Приложения:

Вас заинтересует
2 года назад
3 года назад
3 года назад
10 лет назад